Abstract
Background. The systemic immune-inflammation index (SII) is a useful prognostic indicator for some types of cancer, but it remains to be elucidated if it is similarly useful for colon cancer.
Objectives. This study aims to investigate the prognostic value of preoperative SII in patients with colon cancer undergoing radical surgery.
Materials and methods. The clinical materials of 188 patients with colon cancer who underwent radical surgery from September 1, 2013, to August 31, 2018, in Zhongda Hospital at Southeast University (Nanjing, China) were collected retrospectively. The SII was calculated as platelet count × neutrophil count / lymphocyte count. All patients enrolled in the study were then assigned into 2 different groups according to the median value of SII for comparison of clinical features between the 2 groups. The survival curve was drawn using the Kaplan–Meier method. Univariate and multivariate analysis were performed using the Cox regression model, analyzing the independent risk factors. The independent factors were analyzed with the R software to construct a nomogram of 1-, 2- and 3-year disease-free survival (DFS) after operation. Lastly, a web-based probability calculator was constructed to dynamically predict the possibility of DFS of patients.
Results. The SII could significantly predict DFS of patients with colon cancer with the median value of 514.13xs. For DFS, multivariate Cox analysis indicated that age, tumor location, pathological N stage, and preoperative SII level were independent risk factors for patients with colon cancer after radical resection (p < 0.05). A nomogram and a web-based probability calculator were constructed based on these factors.
Conclusions. The preoperative SII level can predict DFS in patients who received radical surgery with colon cancer. The nomogram constructed based on independent risk factors is helpful in predicting DFS of colon cancer patients in clinical practice.
Key words: prognosis, colon cancer, nomogram, systemic immune-inflammation index
Background
Colorectal cancer is one of the most prevalent malignant tumors of the digestive tract worldwide. According to the World Health Organization (WHO) International Agency for Research on Cancer (IARC) global burden of cancer estimates for 2020, there were over 1.9 million new cases of colorectal cancers (including anal) and 935,000 deaths in 2020, accounting for roughly 1/10 of all cancer cases and deaths.1 In China, colon cancer ranked 2nd and 5th in terms of new cases and deaths among the top 10 malignancies in 2020.1 With the advance in treatments in recent years, the 5-year survival rate for colon cancer in China has risen to 57.6%; however, there is still room for improvement.2 At present, surgery is the most common treatment for resectable colon cancer. However, the postoperative local recurrence and distant metastasis rate are still very high, owing to the anatomical structure of the colon and the characteristics of cancer itself. Local recurrence and distant metastasis are the main causes of decreased survival time and the decline in quality of life.3 Therefore, to promote good health and prevent mortality, it is critical to assess the recurrence risk and survival time of patients with colon cancer after radical resection. According to previous research, inflammation is vital in various stages of tumor incidence, tissue invasion and metastasis.4 In recent years, various inflammatory indicators have been presented for predicting tumor prognosis in order to increase the overall survival (OS) rate of patients with cancer, such as platelet-to-lymphocyte ratio (PLR), neutrophil-to-lymphocyte ratio (NLR)5 and lymphocyte-to-monocyte ratio (LMR).6 Systemic immune-inflammation index (SII), which is equal to platelet count × neutrophil count / lymphocyte count (P×N/L), could more thoroughly indicate the state of inflammation in the body based on a combination of the aforementioned 3 indicators of platelet, neutrophil and lymphocyte. So far, SII has demonstrated predictive value for prognosis in gastric cancer,7 bladder cancer8 and breast cancer.9 However, its predictive value for the prognosis of colon cancer remains unknown.10
Objectives
To this end, this study aimed to investigate the predictive value of preoperative SII level for disease-free survival (DFS) of colon cancer patients undergoing radical surgery, and to construct a nomogram that could be used as a simple prognostication tool in clinical care.
Materials and methods
Patients
From September 1, 2013, to August 31, 2018, patients with colon cancer who were admitted to Zhongda Hospital at Southeast University (Nanjing, China) and received radical surgery were recruited into the study. The inclusion criteria were as follows: 1) radical surgery received; 2) postoperative pathological confirmation of colon cancer; 3) preoperative imaging showing no distant metastasis. Exclusion criteria were as follows: 1) patients who had received neoadjuvant therapy such as radiotherapy, chemotherapy and immunotherapy before surgery; 2) patients with severe cardiopulmonary insufficiency, severe infections, blood system diseases, autoimmune disease, hepatitis, or other tumors before surgery; 3) cases lacking crucial clinical or follow-up data. Finally, a total of 188 eligible cases were included in the study after application of the inclusion and exclusion criteria.
This study retrospectively collected the data of previous cases for anonymous analysis without exposing privacy information of patients, so informed consent could be waived. It was carried out in accordance with the Declaration of Helsinki.
Collection of clinical data
The temperature of all patients was normal 3 days before surgery, without obvious symptoms of local or systemic infection. Venous blood was collected 1 week before surgery, and SII for each patient was calculated using the formula SII = P × N/L. Clinical data (including age, gender, preoperative carcinoembryonic antigen (CEA) level, and preoperative intestinal obstruction) and pathological data (including tumor location, histological type, the maximum diameter, vascular and nerve invasion, the number of dissected lymph nodes, TNM staging, and human epidermal growth factor receptor-2 (HER2) expression) were collected for analysis. Right-sided colon cancer included cecum cancer, ascending colon cancer and right-half transverse colon cancer, while the rest were considered left-sided colon cancer. The follow-up started on the day of surgery (either in hospital or outpatient) and was performed every 3–6 months for the first 2 years, and then every 6 months thereafter. The deadline for follow-up was August 31, 2021. The patient’s DFS during follow-up was recorded.
Evaluation criteria
The time from the postoperative period until the first recurrence or death due to recurrence or termination of follow-up was referred to as DFS. Postoperative recurrence was defined as the recurrence of malignant tumors related to the primary focus in all organs after radical resection, including local recurrence and distant metastasis. Local recurrence was understood as recurrence in the pelvic region, whereas distant organ metastasis referred to recurrence outside of the pelvic region. Postoperative recurrence was confirmed with imaging or pathology.
Statistical analyses
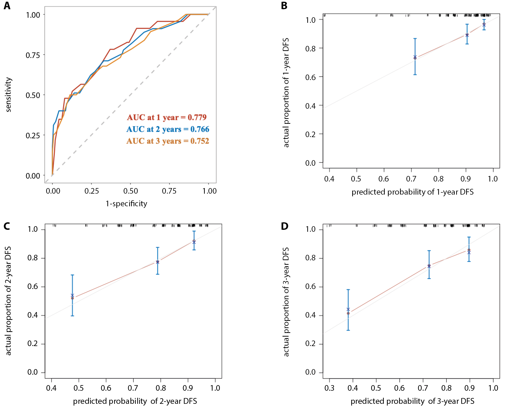
The IBM SPSS v. 26.0 software (IBM Corp., Armonk, USA) was used for statistical analysis. The SII scores were divided into a low and a high group according to the median. The χ2 test or Fisher’s exact test were used for comparison between groups. The Kaplan–Meier method was used for survival analysis and the log-rank test were used to compare the differences between the low and high groups. Univariate and multivariate Cox regression model was used to analyze risk factors that impacted the prognosis of patients with colon cancer. Some data regarding preoperative CEA, vascular invasion, nerve invasion, and HER2 expression were missing. In order to avoid the reduction of statistical test efficiency and bias caused by the missing data, multiple interpolation was used to compensate for missing data. Multiple interpolation would generate 5 interpolated datasets, each containing data of 188 patients, without missing items. These 5 datasets and the original dataset underwent independent Cox analysis to provide 6 survival functions. The 6 survival functions were in good agreement, indicating that the additional data did not cause obvious bias in the results. Therefore, the best-performing dataset was chosen as the final data for analysis. Bilateral probability test was used for all statistics and p < 0.05 was considered statistically significant. The nomogram to predict 1-, 2- and 3-year DFS of patients after operation and the web-based probability calculator were constructed with the R software v. 4.1.1 (R Foundation for Statistical Computing, Vienna, Austria). The bootstrap method was used to repeat sampling 1000 times, serving to perform the internal validation of the nomogram. The receiver operating characteristic (ROC) curve and C-index were used to assess the differentiation and accuracy of the predictive model, and a calibration curve was used to evaluate the consistency of the prediction model of the nomogram. The flowchart (Figure 1) depicts the concept for this study.
Results
General clinical characteristics of the patients
A total of 188 patients were included. There were 117 males and 71 females, whose age ranged from 33 to 92 years, with a median age of 67 years. Preoperative CEA level was ≥5 ng/mL in 93 patients and <5 ng/mL in 81 patients. Preoperative ileus was present in 50 cases. One hundred and seven patients had the tumor in the left colon, while 81 patients had tumors in the right colon. The tumor diameter in 123 patients was ≤5 cm.11 The number of cases with adenocarcinoma, mucinous adenocarcinoma and other histological types were 148, 9 and 31, respectively. Vascular invasion was observed in the specimens of 65 patients, while 33 patients did not present with invasion. The number of patients with TNM stage I (including T0), stage II and stage III was 9, 93 and 86, respectively. The median follow-up time of all patients was 1294 (206–2766) days, during which 63 patients developed postoperative recurrence, including 11 cases with local recurrence and 52 cases with distant metastasis; 16 patients died. Among the patients with distant metastasis, 36 cases were liver metastasis, while the remaining 16 patients presented with multiple metastasis or single metastasis in other sites. Generally, the postoperative recurrence and mortality rate were 33.5% and 8.5%, respectively. The median value of the preoperative SII was 514.13, ranging from 108.27 to 5596.89. The clinical characteristics of the enrolled patients are presented in Table 1.
Correlation between preoperative SII and clinical variables
The clinical data and characteristics of the patients were compared between the 2 groups. (Table 2). There were statistical differences in tumor diameter in the 2 groups (p < 0.05), while gender, age, preoperative CEA level, intestinal obstruction, tumor location, tumor histology, vessel and nerve invasion, number of dissected peri-intestinal lymph nodes, HER2 expression, and T, N and TNM stage did not differ between the 2 groups (p > 0.05).
Risk factors affecting the prognosis of colon cancer patients receiving radical resection
As shown in Table 3, SII, as well as age, preoperative CEA level, tumor location, vascular and nerve invasion, and N and TNM stage affected the DFS of colon cancer in the 2 groups. Multivariate Cox analysis indicated that age, tumor location, pathological N stage, and preoperative SII level were independent risk factors for DFS of patients who received radical resection of colon cancer. The Kaplan–Meier method indicated that there was a statistically significant difference in DFS between the 2 groups (Figure 2). It revealed that patients in the high-SII group had worse DFS compared with those in the low-SII group.
Nomogram and a web-based probability calculator for prognosis of patients with colon cancer undergoing radical surgery
For DFS, the independent risk factors of DFS according to the results of multivariate analysis, including age, tumor location, pathological N stage, and preoperative SII level, were uploaded into the R software to draw a nomogram (Figure 3). Bootstrap method was applied for internal validation of the nomogram (B = 1000) and the C-index was 0.717 (95% CI: 0.654–0.779). The ROC curve indicated that the nomogram had a good ability to predict DFS in a 3-year perspective. Furthermore, the calibration curve derived by the nomogram showed that the probability of DFS agreed well with the actual condition. Both curves are shown in Figure 4. Moreover, a dynamic web-based probability calculator (https://medicalclimbers.shinyapps.io/DynNomapp/) was created to predict the DFS of patients with colon cancer undergoing radical resection according to the nomogram; this web-based probability calculator also made calculation of DFS probability of a single patient easier. As in the example below, it was easy to obtain the DFS probability of a patient by entering the age, tumor location, SII and pathological N stage in the calculator. For example, the 2-year DFS probability of patients who were 65 years old or older and had left-sided colon cancer, high preoperative SII and pathological N1 stage was about 65% (95% CI: 50–83%) (Figure 5).
Discussion
Tumor-associated inflammation plays a vital role in the occurrence and development of tumors, and inflammatory and immune cells are important components of the tumor microenvironment.12 When tissues are injured or infected, the local immune system activates numerous inflammatory cells, such as neutrophils, lymphocytes, macrophages, etc. which secrete a variety of cytokines to form an inflammatory microenvironment and repair damaged tissues. However, when such inflammatory microenvironment appears in tumor patients, a large number of inflammatory mediators which could alter the internal environment will be released, resulting in a cascade of inflammation-associated reactions. The constant inflammatory microenvironment could lead to the occurrence of tumors, which in turn further aggravate the inflammatory response by tumor formation and development.13, 14, 15 Currently, it is widely believed that tumor-related inflammation suppresses tumor immunity by recruiting regulatory T cells and activating chemokines, leading to tumor progression.16 Neutrophils inhibit the anti-tumor T response and release pro-angiogenic factors to stimulate the spread of tumor cells, while platelets also secrete a variety of angiogenic factors and tumor growth factors to stimulate the proliferation and distant metastasis of cancer cells.4, 17 On the other hand, lymphocytes are involved in anti-tumor immunity, triggering tumor apoptosis and necrosis mechanisms, so the decrease in the number of peripheral lymphocytes represents impaired cellular immunological dysfunction.18, 19, 20
The blood routine is a low-cost, low-trauma and highly repetitive examination procedure both for patients’ admitted to hospitals and in outpatient clinics. Due to this, a series of inflammation-related indicators have been studied more intensively, and some of them have been proven to be useful in the prognosis of colon cancer. Catal et al. found that the preoperative PLR value showed good specificity and sensitivity for predicting lymph node metastasis in patients with colon cancer.21 The study by Turri et al. indicated that patients with stage I or II colon cancer had worse OS when preoperative NLR was greater than 3 (p = 0.007).22 Facciorusso et al. proved that LMR could predict OS and time to recurrence (TTR) in patients with colorectal liver metastasis after radiofrequency ablation.23 Patients with LMR ≤ 3.96% had a shorter median OS (34 months compared to 38 months, p = 0.007) and TTR (25 months compared to 35 months, p = 0.02) than those with LMR > 3.96%. In this study, SII is based on the comprehensive indicators of neutrophils, platelets and lymphocytes, which might better reflect the relationship between immunity and inflammation. The SII is effective in predicting the prognosis of cancers such as gastric cancer,14 bladder cancer9 and others. However, there are few studies regarding SII and colon cancer, and there is a lack of unified conclusion on the threshold value of SII. According to relevant studies, between 40% and 50% of patients with colorectal cancer will experience local tumor recurrence or metastasis, which ultimately leads to death.24, 25 Thus, it is necessary to assess the risk of recurrence of patients with colon cancer and take steps as early as possible in order to improve the survival rate and the quality of life. In recent years, many experts have studied the risk factors for recurrence of colon cancer. Some found that with the increase of age, the number of lymphocytes in the body decreases, so SII would increase with age, which may lead to a correlation between age and postoperative recurrence rates.26 Mizuno et al.27 confirmed that preoperative CEA level was significant for the prognosis of patients with stage II/III colon cancer, while some other investigators28 pointed out that postoperative CEA, rather than preoperative CEA, could more accurately predict the probability of recurrence and death after operation. This dispute warrants more studies in the future. In addition, Lee et al. found that left colon cancer patients had considerably better DFS and OS compared with those with right colon affected, which might be due to the different biologic characteristics of colon cancer at different location.29 Saha et al. found that tumor diameter negatively impacted survival, whereas our study failed to confirm the connection between tumor diameter and prognosis because of the small sample size.30 Nevertheless, other classic factors, such as pathological N stage,31 were proven to be related to DFS.
A meta-analysis confirmed that higher preoperative SII level could predict worse DFS of patients with colon cancer, which is in accordance with our study.4 However, the cutoff value of SII was not standardized in general. In our study, the cutoff value of SII was 514.13, which is similar to the findings presented in other studies, where the cutoff SII ranged from 340 to 667.75.10, 32, 33 The varied values of SII do not alter our conclusion; however, the optimal cutoff value still needs to be adjusted according to clinical practice. Despite the fact that the TNM analysis can predict the prognosis of patients with cancers, its limited accuracy results in heterogeneity of patients with the same stage.34 Some research has put forward several new TNM staging strategies to predict the prognosis of patients with colorectal cancer.35, 36, 37 Therefore, the nomogram in this study could integrate various clinical information to provide more accurate and individualized prognostic prediction, better than just TNM stage. Furthermore, the nomogram established here is based on independent risk factors that could well predict DFS of patients with colon cancer 1, 2 and 3 years after surgery. To be more exact, we were able to predict the probability of 1-, 2- and 3- DFS of patients with colon cancer based on their clinical characteristics including age, tumor location, preoperative SII, and N stage.
Inflammatory response is not the only factor affecting the prognosis of patients with cancers. Nowadays, more attention has been paid to tumor drug therapies like chemotherapy and immunotherapy, while surgical treatment seems less important. While all cases in this study received radical surgery, the prognosis of patients may be influenced by many factors, including different surgical methods and experience of operators. A meta-analysis of 16 retrospective studies showed that any complication after radical surgery in patients for stage II and III gastric cancer predicted a poor outcome, while the same result was not found in patients with stage I gastric cancer.38 For functional well-differentiated neuroendocrine tumors (NETs) with liver metastases, surgery is not usually the first choice. However, Citterio et al. demonstrated that resection of the primary tumor might improve the survival in these patients.39 For pancreatic cancer, radical surgery is still the only curative method, but the choice of surgical method is worth further discussion. The survival benefits of patients with pancreatic head cancer were not significantly improved by extended resection when compared with standard pancreaticoduodenectomy. Conversely, better survival outcomes were achieved by extended resection of pancreatic tail or body cancer.40 For colon cancer, the choice between open and laparoscopic surgery has always been controversial. Mazaki et al. found that compared with colon cancer patients who underwent open radical surgery, those who received laparoscopic radical surgery had a lower 5-year cumulative local recurrence rate (9.2% compared to 0%, p = 0.007), but the 5-year distant metastasis rate seemed to be higher (9.2% compared to 12.7%, p = 0.49).41 In summary, future studies should also pay more attention to tumor surgical treatment, such as the timing of surgery, the choice of surgical methods and postoperative complications, so as to provide reference for prolonging the survival of patients.
Limitations
Inevitably, there were some limitations of this study. Firstly, it was a single-center retrospective study with a small sample size and some loss of clinical data, which had selection bias, confounding bias and some other drawbacks. Additionally, the differing surgical experience of the operators could also lead to differences in the postoperative tumor recurrence rate of patients. This nomogram had only been verified internally due to limitations imposed due to COVID-19 pandemic and small sample size. As a result, its reliability was weaker when it was verified in different cohorts. Although our study lacked external validation, the nomogram performed well in terms of discrimination and calibration, and it predicted the probability of disease-free survival 1, 2 and 3 years after radical surgery, which was rarely performed in other studies. Future studies should collect data from other centers for external validation. Finally, factors related to prognosis such as microsatellite instability, KRAS and NRAS42 mutations, and the question whether to perform postoperative adjuvant therapy were not included in the study. Meanwhile, whether SII has predictive value for patients of all races, regions and types requires more multicenter and larger sample research in the future.
Conclusion
In summary, this study found that SII, as a novel prognostic indicator based on inflammation in recent years, could independently predict the postoperative recurrence of patients with colon cancer. The nomogram based on SII and other independent factors could effectively predict 1-, 2- and 3-year DFS of patients after surgery, providing patients and doctors with more accurate and timely prognostic judgments, which could potentially improve survival rate and quality of life. Moreover, a dynamic web-based probability calculator constructed according to the nomogram made it easier and more convenient to predict the prognosis of patients in clinical work.








